Workflow
三元乙丙橡胶
icon
搜索文档
新华财经早报:12月20日
新华财经· 2025-12-20 00:54
·李强主持召开国务院常务会议对贯彻落实中央经济工作会议决策部署作出安排 ·商务部:自12月20日起对原产于美国、韩国和欧盟的进口三元乙丙橡胶所适用的反倾销措施发起期终 复审调查 ·涉及反垄断执法市场监管总局发布新规将于明年施行 ·国务院总理李强12月19日主持召开国务院常务会议,对贯彻落实中央经济工作会议决策部署作出安 排。会议强调,国务院各部门要切实把思想和行动统一到党中央对形势的科学判断和决策部署上来,全 面贯彻明年经济工作的总体要求和政策取向,进一步增强责任感、紧迫感,认真对标对表,主动认领任 务,结合职能逐项细化实化,加快制定具体实施方案,推动各项工作落地见效。对涉及面广、综合性强 的重要任务,牵头部门要主动担当,相关部门要密切配合,加强跨部门协同攻坚,形成促发展的合力。 要靠前发力抓落实,以扎实有效的工作不断巩固拓展经济稳中向好势头,确保"十五五"开好局、起好 步。(新华社) ·近日市场监管总局修改《禁止垄断协议规定》,明确不予禁止的纵向垄断协议需符合的市场份额标准 和其他条件,将于2026年2月1日起施行。根据新规,对固定或者限定转售商品价格的纵向协议,经营者 在协议期间相关市场的市场份额低于5% ...
新华财经晚报:涉及反垄断执法 市场监管总局发布新规 将于明年施行
新华财经· 2025-12-19 15:36
·日本央行加息25个基点政策利率达30年来最高水平 【国内要闻】 ·近日市场监管总局修改《禁止垄断协议规定》,明确不予禁止的纵向垄断协议需符合的市场份额标准 和其他条件,将于2026年2月1日起施行。根据新规,对固定或者限定转售商品价格的纵向协议,经营者 在协议期间相关市场的市场份额低于5%,同时协议所涉及商品的营业额低于1亿元的,不予禁止;对其 他纵向协议,经营者在协议期间相关市场的市场份额低于15%的,不予禁止,无营业额条件。 ·根据商务部建议,国务院关税税则委员会决定,在反倾销措施期终复审调查期间,对原产于美国、韩 国和欧盟的进口三元乙丙橡胶继续按照商务部2020年第60号公告公布的征税产品范围和税率征收反倾销 税。自2025年12月20日起,对原产于英国的进口三元乙丙橡胶所适用的反倾销措施到期终止。 ·国家外汇管理局公布2025年11月银行结售汇和银行代客涉外收付款数据。2025年11月,银行结汇14840 亿元人民币,售汇13732亿元人民币。2025年1—11月,银行累计结汇162781亿元人民币,累计售汇 155932亿元人民币。 【重点关注】 ·涉及反垄断执法市场监管总局发布新规将于明年施行 ...
我国对原产于美国、韩国和欧盟的进口三元乙丙橡胶继续征收反倾销税
新华社· 2025-12-19 09:32
新华社北京12月19日电 商务部19日发布公告,决定自2025年12月20日起,对原产于美国、韩国和欧盟 的进口三元乙丙橡胶所适用的反倾销措施进行期终复审调查。根据商务部建议,国务院关税税则委员会 决定,在反倾销措施期终复审调查期间,对原产于美国、韩国和欧盟的进口三元乙丙橡胶继续按照商务 部2020年第60号公告公布的征税产品范围和税率征收反倾销税。 ...
刚刚!商务部公告:复审调查!
券商中国· 2025-12-19 09:16
12月19日,商务部发布2025年第81号公告,公布对原产于美国、韩国和欧盟的进口三元乙丙橡胶所适用的 反倾销措施发起期终复审调查。 商务部公告2025年第81号 公布对原产于美国、韩国和欧盟的进口三元乙丙橡胶所适用的反倾销措施发起期终复审调查 2020年12月18日,商务部发布2020年第60号公告,决定自2020年12月20日起,对原产于美国、韩国和欧盟的进 口三元乙丙橡胶征收反倾销税,税率为美国公司214.9%—222.0%,韩国公司12.5%—24.5%,欧盟公司14.7%— 31.7%,实施期限为5年。 根据商务部2021年第3号公告,2020年12月31日英国脱欧过渡期结束后,之前已对欧盟实施的贸易救济措施继 续适用于欧盟和英国,实施期限不变;该日期后对欧盟新发起的贸易救济调查及复审案件,不再将英国作为欧 盟成员国处理。 2025年10月17日,商务部收到中国石油天然气股份有限公司吉林石化分公司和上海中石化三井弹性体有限公司 (以下称申请人)代表国内三元乙丙橡胶产业提交的反倾销措施期终复审申请书。申请人主张,如果终止反倾 销措施,原产于美国、韩国和欧盟的进口三元乙丙橡胶对中国的倾销可能继续或再度发 ...
商务部:对原产于美国、韩国和欧盟的进口三元乙丙橡胶继续实施反倾销措施
搜狐财经· 2025-12-19 08:37
中新网12月19日电 据商务部网站消息,商务部发布公告,公布对原产于美国、韩国和欧盟的进口三元 乙丙橡胶所适用的反倾销措施发起期终复审调查。内容如下: 商务部公告2025年第81号 公布对原产于美国、韩国和欧盟的进口三元乙丙橡胶所适用的反倾销措施发 起期终复审调查 2020年12月18日,商务部发布2020年第60号公告,决定自2020年12月20日起,对原产于美国、韩国和欧 盟的进口三元乙丙橡胶征收反倾销税,税率为美国公司214.9%—222.0%,韩国公司12.5%—24.5%,欧 盟公司14.7%—31.7%,实施期限为5年。 根据商务部2021年第3号公告,2020年12月31日英国脱欧过渡期结束后,之前已对欧盟实施的贸易救济 措施继续适用于欧盟和英国,实施期限不变;该日期后对欧盟新发起的贸易救济调查及复审案件,不再 将英国作为欧盟成员国处理。 2025年10月17日,商务部收到中国石油天然气股份有限公司吉林石化分公司和上海中石化三井弹性体有 限公司(以下称申请人)代表国内三元乙丙橡胶产业提交的反倾销措施期终复审申请书。申请人主张,如 果终止反倾销措施,原产于美国、韩国和欧盟的进口三元乙丙橡胶对中国的 ...
商务部公告2025年第81号 公布对原产于美国、韩国和欧盟的进口三元乙丙橡胶所适用的反倾销措施发起期终复审调查
每日经济新闻· 2025-12-19 08:13
反倾销措施调整 - 中国国务院关税税则委员会决定,在反倾销措施期终复审调查期间,对原产于美国、韩国和欧盟的进口三元乙丙橡胶继续征收反倾销税,征税产品范围和税率依据商务部2020年第60号公告执行 [1] - 自2025年12月20日起,对原产于英国的进口三元乙丙橡胶所适用的反倾销措施将到期终止 [1]
商务部:自12月20日起对原产于美国、韩国和欧盟的进口三元乙丙橡胶所适用的反倾销措施发起期终复审调查
新浪财经· 2025-12-19 08:09
核心事件 - 中国商务部决定自2025年12月20日起对原产于美国、韩国和欧盟的进口三元乙丙橡胶所适用的反倾销措施进行期终复审调查 [1] - 在复审调查期间将继续按照原有征税产品范围和税率征收反倾销税 [1] - 对原产于英国的进口三元乙丙橡胶的反倾销措施将于2025年12月20日到期终止 [1] 调查背景与申请方 - 复审申请由中国石油天然气股份有限公司吉林石化分公司和上海中石化三井弹性体有限公司代表国内三元乙丙橡胶产业于2025年10月17日提交 [1] - 申请方主张若终止反倾销措施,来自美国、韩国和欧盟的进口产品对中国的倾销及对中国产业造成的损害可能继续或再度发生 [1] 调查时间范围 - 本次复审的倾销调查期为2024年7月1日至2025年6月30日 [1] - 产业损害调查期为2021年1月1日至2025年6月30日 [1] 原有反倾销措施详情 - 现有反倾销措施自2020年12月20日起实施,原定实施期限为5年 [2] - 针对美国公司的反倾销税率为214.9%至222.0% [2] - 针对韩国公司的反倾销税率为12.5%至24.5% [2] - 针对欧盟公司的反倾销税率为14.7%至31.7% [2]
道恩股份(002838):拟收购韩国SK集团旗下公司股权,产业链布局完善的同时有望增厚业绩
招商证券· 2025-12-11 02:19
投资评级 - 维持“强烈推荐”投资评级 [3][6][7] 核心观点 - 公司拟以不超过5.8亿元收购宁波爱思开80%股权及相关知识产权,此举将完善公司在弹性体领域的产业链布局,并与现有业务产生协同,同时有望显著增厚公司业绩 [1][2] - 公司新一代轮胎气体阻隔层材料DVA路跑测试数据达到预期,未来市场替代空间广阔,有望开拓百亿规模市场 [6] - 在不考虑DVA放量的情况下,公司TPV等高毛利业务将提供业绩增量,预计2025年业绩将显著增长;若考虑本次收购及DVA放量,未来业绩增速有望进一步提升 [6][7] 收购事项分析 - 收购标的:公司拟以自有资金5.2亿元收购SK香港持有的宁波爱思开80%股权,同时拟以不超过0.65亿元受让相关专利、专有技术及商标,总对价不超过5.85亿元 [1][2] - 标的公司概况:宁波爱思开是一家三元乙丙橡胶生产工厂,拥有6.5万吨EPDM产能,2025年1-6月净利润达到1.1亿元,上半年净利润率约为19% [2][7] - 战略意义:收购契合公司打造绿色轻量化高分子复合材料平台的战略,将EPDM聚合核心技术纳入麾下,使“聚合-改性-应用”全产业链更趋完整,提升技术覆盖广度与深度及行业话语权 [2] - 业务协同:EPDM是公司动态硫化平台产品的核心原料,自主生产能解决上游“卡脖子”问题,降低原材料对外依赖风险,与现有TPV等业务形成显著协同效应 [2] 业务与增长前景 - DVA材料进展:与传统材料相比,DVA可使轮胎气体阻隔层厚度降低50%,重量减少80%,气密性提高7-10倍,轮胎持久性提高50% [6] - DVA市场前景:该产品未来将面向所有轮胎厂合作销售,替代空间大,有望开拓百亿规模市场 [6] - 业绩增长驱动:除了稳定增长的改性塑料业务,TPV等毛利率较高的业务将在2025年进一步提供业绩增量 [6] - 收购业绩贡献:基于审慎原则假设宁波爱思开净利润率为15%,预计其2026及2027年净利润约为2.15亿元;收购其80%股权后,道恩股份2026/2027年归母净利润预计可分别达到4.84/6.13亿元 [7] 财务预测与估值 - 收入预测:预计公司2025/2026/2027年分别实现营业收入61.3/72.8/83.4亿元,同比增速分别为16%/19%/15% [7] - 净利润预测:预计公司2025/2026/2027年归母净利润分别为2.1/3.1/4.4亿元,同比增速分别为49%/49%/41% [7] - 收购后净利润预测:考虑收购标的公司80%股权,预计2026/2027年归母净利润可分别达到4.84/6.13亿元 [7] - 估值变化:收购前,预计2025/2026/2027年PE分别为58.4/39.3/27.8倍;收购后,2026/2027年PE预计分别为25.2/19.9倍 [7] - 盈利能力展望:预计毛利率将从2024年的11.8%提升至2027年的14.1%,净利率从2.7%提升至5.3%,ROE从4.5%提升至11.8% [10] 公司基础数据与市场表现 - 当前股价:25.58元 [3] - 总市值:12.2十亿元;流通市值:10.8十亿元 [3] - 股本数据:总股本478百万股,已上市流通股421百万股 [3] - 财务指标:每股净资产7.5元,ROE为4.8%,资产负债率45.5% [3] - 股价表现:过去12个月绝对涨幅为91%,相对沪深300指数超额收益为75个百分点 [5]
每天三分钟公告很轻松 | 星宇股份拟斥资2亿元至3亿元回购公司股份
上海证券报· 2025-12-10 16:16
公司股份回购与分红 - 星宇股份计划使用自有资金以不超过每股180元的价格回购股份,回购金额不低于2亿元且不高于3亿元,回购股份拟用于员工持股计划 [1] - 贵州茅台披露2025年中期利润分配方案,以总股本约12.52亿股为基数,每股派发现金红利23.957元(含税),共计派发现金红利约300.01亿元 [2] - 五粮液实施2025年中期利润分配方案,以总股本38.82亿股为基数,向全体股东每10股派25.78元现金(含税) [2] 股权投资与资产变动 - 世纪华通通过子公司持有国盛资本7.3121%份额,国盛资本持有摩尔线程1958.8689万股,占其发行后总股本的4.1676% [3] - 以摩尔线程2025年12月10日收盘价估算,世纪华通所持份额预计对公司2025年第四季度净利润影响金额为6.4亿元,约占2024年度经审计归母净利润的53% [3] - 聚和材料初步确定询价转让价格为45.81元/股,拟转让股份获8家机构投资者全额认购,拟受让股份总数为6,776,942股 [9] 融资与收购 - 宁德时代拟注册发行不超过100亿元的债券,期限不超过5年,募集资金主要用于项目建设、补充营运资金、偿还有息负债等 [4] - 道恩股份以自有资金5.16亿元收购SK香港持有的宁波爱思开合成橡胶有限公司80%股权,并拟以不超过6470万元收购相关知识产权 [4][5] - 宁波华翔与关联方共同以5.3亿元购买上汽大众持有的峰梅动力100%股权,其中公司出资2.12亿元,持股40% [5][6] - 万顺新材全资孙公司拟以1238.89万欧元收购欧箔卢森堡100%股权,以落实全球化布局战略 [6][7] - 华升股份拟以发行股份及支付现金方式购买易信科技97.40%股份,交易价格6.62亿元,交易后公司将切入AIDC领域 [17][18] 项目投资与建设 - 武汉天源控股子公司拟投资约6亿元建设江都区新纪变电站200MW/400MWh和太平变电站100MW/200MWh两个电网侧储能项目 [7] - 宁沪高速控股子公司拟投资不超过90.3272亿元建设宁扬长江大桥南接线项目,公司将以自有资金等增资32.6964亿元 [13] - 南京医药控股子公司拟投资不超过3.975亿元建设现代医药物流扩建项目,新建建筑面积58,518.7平方米,建设工期约35个月 [13] - 中船特气拟投资约8.699亿元建设年产3383吨高纯硫化氢等电子气体建设项目,将新增51种电子气体生产能力 [14] - 雪龙集团拟投资1亿元设立全资子公司宁波雪龙铝镁科技有限公司,向压铸产品环节延伸布局 [12] 经营数据与订单 - 圣农发展2025年11月实现销售收入18.1亿元,同比增长15.77%,其中深加工肉制品板块销售收入9.77亿元,同比增长49.26% [9] - 仙坛股份2025年11月实现鸡肉产品销售收入4.94亿元,销售数量5.74万吨,销售收入同比增长11.63% [9] - 民和股份2025年11月销售商品代鸡苗2778.95万只,同比增长18.79%,销售收入9654.76万元,同比下降5.84% [9] - 白云机场2025年11月旅客吞吐量732.28万人次,同比增长12.58%,货邮吞吐量21.64万吨,同比增长2.06% [14] - 瑞立科密收到国内某知名飞行汽车公司的定点开发通知书,将为其开发和供应连接与折叠核心零部件 [8] - 北京科锐中标多个国家电网项目,预估中标金额合计约4.98亿元,约占公司2024年营业收入的24.36% [8] - 积成电子中标国家电网多个项目,共15个包,中标金额合计约2.15亿元,占公司2024年营业收入的8.27% [8] 子公司与资产运作 - 三木集团全资子公司拟以2410.68万元出售位于福州市的75套办公房地产 [7] - 保税科技拟授权相关子公司使用不超过3亿元自有闲置资金进行证券投资,以优化投资结构 [11] - 美迪凯控股子公司拟引入战略投资者富浙绍芯,后者以现金2亿元增资,增资后持股比例为8.40%,投前估值为21.8亿元 [15] - 云天化以协议转让方式收购天耀化工100%股权,收购股权评估价格为3688.58万元 [16] 政府补助 - 麒麟信安收到政府补助款项合计540.14万元,属于与收益相关的政府补助 [10] - 天润乳业子公司共计收到政府补助1249.34万元,其中与收益相关的863.57万元占2024年归母净利润的19.78%,预计将增加2025年归母净利润822.06万元 [12] 其他事项 - 再升科技披露股票交易异常波动公告,澄清其用于航空航天领域的高效节能材料2024年收入占公司营收比例不到0.5%,其中向国际某知名航天公司供应的“高硅氧纤维产品”2024年收入占比极低,目前暂无在手订单 [19]
道恩股份拟收购三元乙丙橡胶生产工厂宁波爱思开80%股权
智通财经· 2025-12-10 14:03
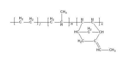
交易概述 - 公司以自有资金5.16亿元收购爱思开致新投资香港有限公司持有的宁波爱思开合成橡胶有限公司80%股权 [1] - 收购完成后,宁波爱思开将成为公司控股子公司并纳入合并报表范围 [1] - 交易对手方关联方持有的相关专利、专有技术及商标拟转让给公司,知识产权转让价格不超过评估值6470万元 [1] 标的公司业务 - 宁波爱思开是一家三元乙丙橡胶生产工厂 [2] - 三元乙丙橡胶为乙烯、丙烯和少量非共轭二烯烃第三单体的共聚物,以EPDM表示 [2] 交易影响与意义 - 本次交易有助于公司在弹性体领域进一步完善产业布局、拓展应用场景 [2] - 交易对公司未来发展具有积极意义 [2]